"/>
ติดต่อสหกรณ์โทร 077-596-762-3 และ 077-596-673-4

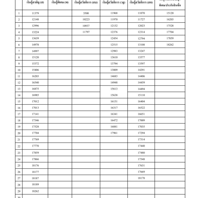
ผลการอนุมัติเงินกู้ตามมติที่ประชุมเงินกู้ครั้งที่ 10/2569 ณ วันที่ 3 เมษายน 2569

โดย นางสาวชนันภรณ์ ครรชิต
 วันที่ 3 เม.ย. 2569 14:21 น.
 1157