"/>
ติดต่อสหกรณ์โทร 077-596-762-3 และ 077-596-673-4

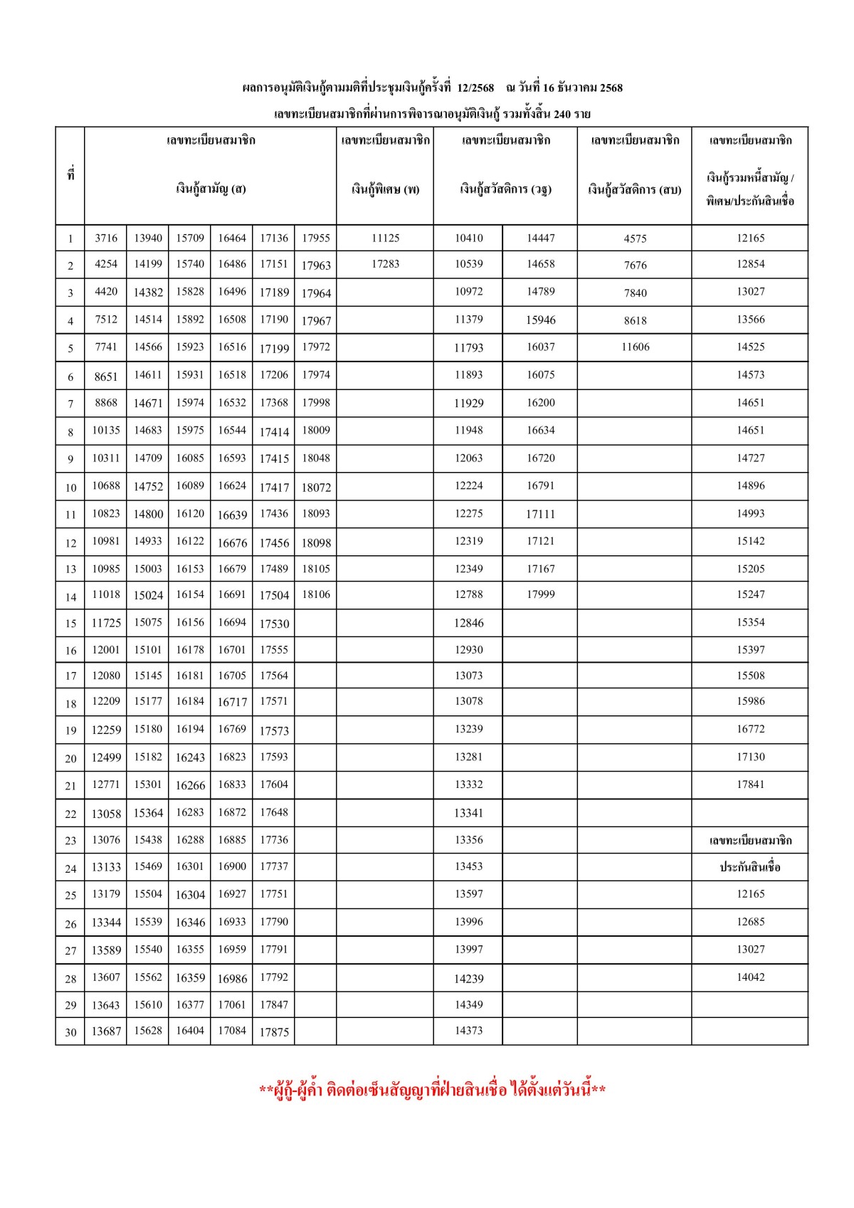
ผลการอนุมัติเงินกู้ตามมติที่ประชุมเงินกู้ครั้งที่ 12/2568 ณ วันที่ 16 ธันวาคม 68

โดย นางสาวชนันภรณ์ ครรชิต
 วันที่ 16 ธ.ค. 2568 14:45 น.
 1103