"/>
ติดต่อสหกรณ์โทร 077-596-762-3 และ 077-596-673-4

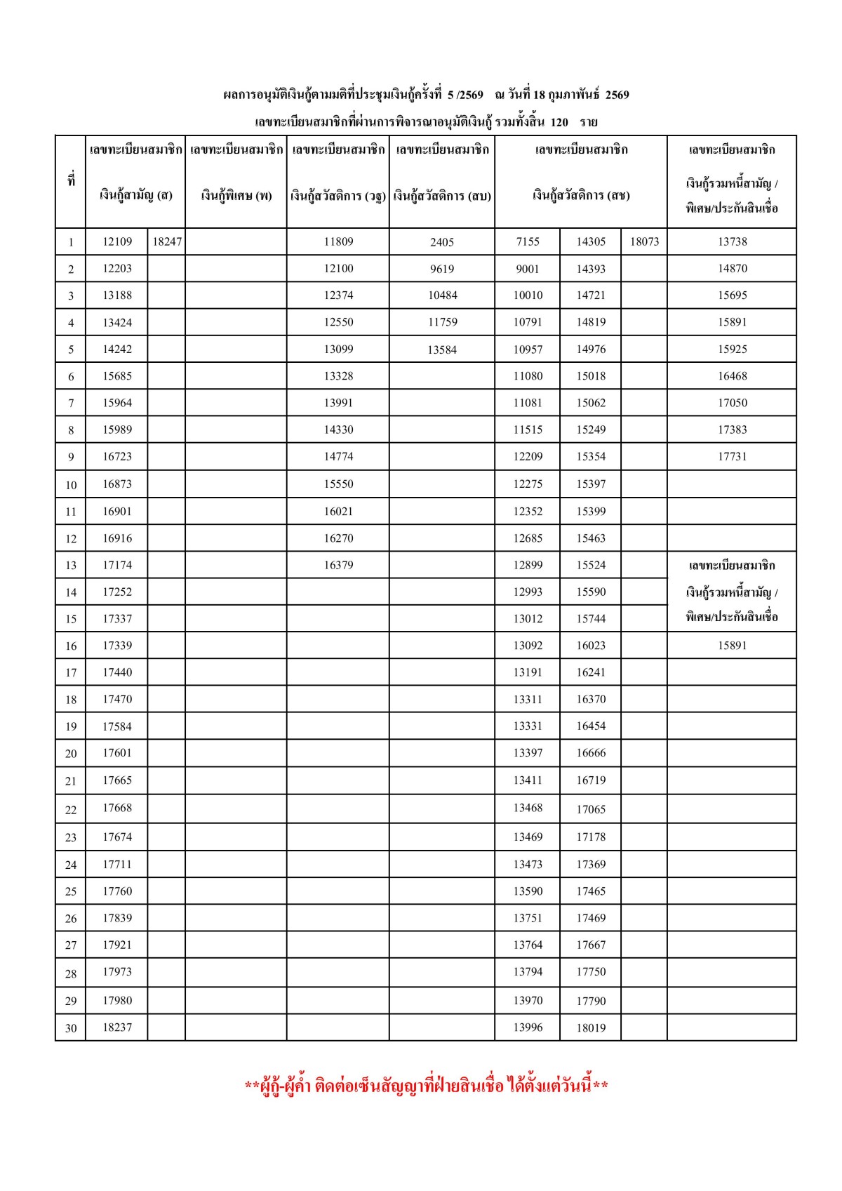
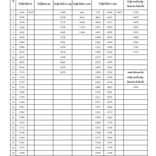
ผลการอนุมัติเงินกู้ตามมติที่ประชุมเงินกู้ครั้งที่ 5/2569 ณ วันที่ 18 กุมภาพันธ์ 2569

โดย นางสาวชนันภรณ์ ครรชิต
 วันที่ 18 ก.พ. 2569 14:45 น.
 746